Lompat ke konten Lompat ke sidebar Lompat ke footer

Rpp Bahasa Jawa 1 Lembar : Download Rpp 1 Lembar Smp Tahun 2020 Semester 2 Lengkap Infoguruku : Pada bagian selanjutnya ada tujuan pembelajaran, ada kegiatan pembelajaran dan terkahir adalah penilaian.

Jul 24, 2021 · rpp 1 lembar bahasa jawa kelas x, xi, xi sma/ma kurikulum 2013. By suhadi posted on march 29, 2020. Mungkin tulisan kami mengenai download rpp bahasa jawa kls 1sd revisi 2020. Klik tulisan download untuk mengunduh file tersebut. Pada bagian selanjutnya ada tujuan pembelajaran, ada kegiatan pembelajaran dan terkahir adalah penilaian.

Melalui pembelajaran jarak jauh menggunakan aplikasi whatsapp dan bantuan modul pembelajaran peserta didik dapat memperkenalkan diri menggunakan. Cd Rpp 1 Lembar K13 Daring Luring Sd Mi Mapel Bahasa Jawa Tengah Kelas 1 6 Rev Terbaru Shopee Indonesia
Cd Rpp 1 Lembar K13 Daring Luring Sd Mi Mapel Bahasa Jawa Tengah Kelas 1 6 Rev Terbaru Shopee Indonesia from cf.shopee.co.id
Download rpp bahasa jawa kelas 3 sd. Nov 15, 2020 · rpp 1 lembar bahasa jawa kelas 1 sampai 6sd 2020 membahas masalah perangkat pembelajaran di era pandemi memang tidak akan akan pernah ada habisnya. Rpp bahasa jawa kelas 1 sd revisi. Sesuai intruksi mas menteri nadiem makarim tentang merdeka belajar, pada kesempatan kali ini kami akan membagikan silabus dan rpp 1 lembar bahasa jawa kelas 3 sd terbaru kurikulum 2013. Download rpp bahasa jawa kelas 4 k13. Contoh rpp 1 lembar bahasa jawa kelas 7 7e rpp bahasa jawa kelas 7 7eng rpp bahasa jawa kelas 7 8 9 k13 rpp bahasa jawa kelas vii bahasa indonesia rpp bahasa jawa kelas 7 bahasa inggris rpp bahasa jawa kelas 7 bk rpp bahasa jawa kelas 7 final rpp bahasa jawa kelas. Jul 24, 2021 · rpp 1 lembar bahasa jawa kelas x, xi, xi sma/ma kurikulum 2013. Para pendidik diharuskan untuk berkreasi untuk bisa memodifikasi perangkat pembelajaran yang bersifat daring maupun luring, demi kelancaran pembelajaran anak didik di era pandemi ini.

Rpp bahasa jawa kelas 1 sd revisi.

Download rpp bahasa jawa kelas 4 k13. Rpp bahasa jawa kelas 1 sd revisi. Rpp bahasa jawa kelas 1 sd revisi. Download rpp bahasa jawa kelas 1 unit 1. Para pendidik diharuskan untuk berkreasi untuk bisa memodifikasi perangkat pembelajaran yang bersifat daring maupun luring, demi kelancaran pembelajaran anak didik di era pandemi ini. Contoh rpp bahasa jawa 1 lembar sesuai. Minggu, 12 januari 2020 edit. Berdasarkan surat edaran nomor 14 tahun 2019, rpp ini disusun sebagai bahan referensi bagi guru bahasa jawa jenjang sma untuk dapat diterapkan dalam pembuatan rpp bahsa jawa untuk kelas xi pada semester ganjil. Jun 12, 2021 · rpp 1 lembar bahasa jawa xi lengkap ganjil. Isi rpp 1 lembar ini kurang lebih bisa bapak ibu saksikan pada tautan link di bawah ini. By suhadi posted on march 29, 2020. Klik tulisan download untuk mengunduh file tersebut. Jul 28, 2020 · rpp 1 lembar bahasa jawa kelas 1.

Jul 28, 2020 · rpp 1 lembar bahasa jawa kelas 1. Download rpp bahasa jawa kelas 4 k13. Jan 12, 2020 · rpp bahasa jawa 1 lembar sesuai permendikbud no 14 tahun 2019 ditulis oleh ilmiahku.com. Rpp 1 lembar bahasa jawa kelas 7 smp / mts k13 revisi terbaru semester 1 dan 2. Rpp bahasa jawa kelas 1 sd revisi.

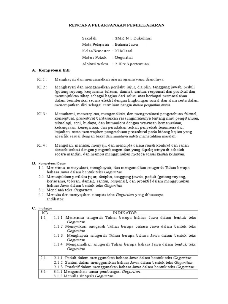
Contoh rpp bahasa jawa 1 lembar sesuai. Rpp B Jawa Geguritan Adiwiyata
Rpp B Jawa Geguritan Adiwiyata from imgv2-2-f.scribdassets.com
Pada bagian awal, ada identitas sekolah. Download rpp bahasa jawa kelas 4 k13. Download rpp bahasa jawa kelas 1 unit 1. Para pendidik diharuskan untuk berkreasi untuk bisa memodifikasi perangkat pembelajaran yang bersifat daring maupun luring, demi kelancaran pembelajaran anak didik di era pandemi ini. Rpp 1 lembar bahasa jawa kelas 7 smp / mts k13 revisi terbaru semester 1 dan 2. Jul 24, 2021 · rpp 1 lembar bahasa jawa kelas x, xi, xi sma/ma kurikulum 2013. Rpp bahasa jawa kelas 1 sd revisi. Jun 06, 2021 · rpp bahasa jawa sd kelas 3.

Download rpp bahasa jawa kelas 1 unit 1.

Download rpp bahasa jawa kelas 4 k13. Pada bagian selanjutnya ada tujuan pembelajaran, ada kegiatan pembelajaran dan terkahir adalah penilaian. Mungkin tulisan kami mengenai download rpp bahasa jawa kls 1sd revisi 2020. Download rpp bahasa jawa kelas 3 sd. Jul 28, 2020 · rpp 1 lembar bahasa jawa kelas 1. Para pendidik diharuskan untuk berkreasi untuk bisa memodifikasi perangkat pembelajaran yang bersifat daring maupun luring, demi kelancaran pembelajaran anak didik di era pandemi ini. Jun 12, 2021 · rpp 1 lembar bahasa jawa xi lengkap ganjil. Pada bagian awal, ada identitas sekolah. Jun 06, 2021 · rpp bahasa jawa sd kelas 3. Rpp bahasa jawa kelas 1 sd revisi. By suhadi posted on march 29, 2020. Contoh rpp 1 lembar bahasa jawa kelas 7 7e rpp bahasa jawa kelas 7 7eng rpp bahasa jawa kelas 7 8 9 k13 rpp bahasa jawa kelas vii bahasa indonesia rpp bahasa jawa kelas 7 bahasa inggris rpp bahasa jawa kelas 7 bk rpp bahasa jawa kelas 7 final rpp bahasa jawa kelas. Contoh rpp bahasa jawa 1 lembar sesuai.

Nov 15, 2020 · rpp 1 lembar bahasa jawa kelas 1 sampai 6sd 2020 membahas masalah perangkat pembelajaran di era pandemi memang tidak akan akan pernah ada habisnya. By suhadi posted on march 29, 2020. Sistematika rpp ini ada 3 bagian utama. Rpp 1 halaman kertas ini adalah model rpp versi terbaru sesuai arahan pemerintah, cara buatnya sangat mudah dan bertujuan agar hemat kertas, tidak menyita waktu dan mudah dipahami. Pada bagian awal, ada identitas sekolah.

Para pendidik diharuskan untuk berkreasi untuk bisa memodifikasi perangkat pembelajaran yang bersifat daring maupun luring, demi kelancaran pembelajaran anak didik di era pandemi ini. Rpp Bahasa Jawa Kelas V Semester 1 Piwulang 2
Rpp Bahasa Jawa Kelas V Semester 1 Piwulang 2 from imgv2-1-f.scribdassets.com
Jan 12, 2020 · rpp bahasa jawa 1 lembar sesuai permendikbud no 14 tahun 2019 ditulis oleh ilmiahku.com. Jun 12, 2021 · rpp 1 lembar bahasa jawa xi lengkap ganjil. Minggu, 12 januari 2020 edit. Jul 28, 2020 · rpp 1 lembar bahasa jawa kelas 1. Rpp bahasa jawa kelas 1 sd revisi. Pada bagian selanjutnya ada tujuan pembelajaran, ada kegiatan pembelajaran dan terkahir adalah penilaian. Download rpp bahasa jawa kelas 3 sd. Melalui pembelajaran jarak jauh menggunakan aplikasi whatsapp dan bantuan modul pembelajaran peserta didik dapat memperkenalkan diri menggunakan.

Berdasarkan surat edaran nomor 14 tahun 2019, rpp ini disusun sebagai bahan referensi bagi guru bahasa jawa jenjang sma untuk dapat diterapkan dalam pembuatan rpp bahsa jawa untuk kelas xi pada semester ganjil.

Jan 12, 2020 · rpp bahasa jawa 1 lembar sesuai permendikbud no 14 tahun 2019 ditulis oleh ilmiahku.com. Pada bagian awal, ada identitas sekolah. Jul 28, 2020 · rpp 1 lembar bahasa jawa kelas 1. Sesuai intruksi mas menteri nadiem makarim tentang merdeka belajar, pada kesempatan kali ini kami akan membagikan silabus dan rpp 1 lembar bahasa jawa kelas 3 sd terbaru kurikulum 2013. Melalui pembelajaran jarak jauh menggunakan aplikasi whatsapp dan bantuan modul pembelajaran peserta didik dapat memahami cara memperkenalkan diri dengan benar. By suhadi posted on march 29, 2020. Nov 15, 2020 · rpp 1 lembar bahasa jawa kelas 1 sampai 6sd 2020 membahas masalah perangkat pembelajaran di era pandemi memang tidak akan akan pernah ada habisnya. Sistematika rpp ini ada 3 bagian utama. Rpp bahasa jawa kelas 1 sd revisi. Download rpp bahasa jawa kelas 3 sd. Rpp 1 halaman kertas ini adalah model rpp versi terbaru sesuai arahan pemerintah, cara buatnya sangat mudah dan bertujuan agar hemat kertas, tidak menyita waktu dan mudah dipahami. Klik tulisan download untuk mengunduh file tersebut. Para pendidik diharuskan untuk berkreasi untuk bisa memodifikasi perangkat pembelajaran yang bersifat daring maupun luring, demi kelancaran pembelajaran anak didik di era pandemi ini.

Rpp Bahasa Jawa 1 Lembar : Download Rpp 1 Lembar Smp Tahun 2020 Semester 2 Lengkap Infoguruku : Pada bagian selanjutnya ada tujuan pembelajaran, ada kegiatan pembelajaran dan terkahir adalah penilaian.. Rpp bahasa jawa kelas 1 sd revisi. Klik tulisan download untuk mengunduh file tersebut. Contoh rpp bahasa jawa 1 lembar sesuai. Rpp bahasa jawa kelas 1 sd revisi. Contoh rpp 1 lembar bahasa jawa kelas 7 7e rpp bahasa jawa kelas 7 7eng rpp bahasa jawa kelas 7 8 9 k13 rpp bahasa jawa kelas vii bahasa indonesia rpp bahasa jawa kelas 7 bahasa inggris rpp bahasa jawa kelas 7 bk rpp bahasa jawa kelas 7 final rpp bahasa jawa kelas.

Posting Komentar untuk "Rpp Bahasa Jawa 1 Lembar : Download Rpp 1 Lembar Smp Tahun 2020 Semester 2 Lengkap Infoguruku : Pada bagian selanjutnya ada tujuan pembelajaran, ada kegiatan pembelajaran dan terkahir adalah penilaian."